4 metodologías cuantitativas para hacer análisis de riesgos precisos

Publicado por Equipo de Investigación ORCA el 25 de septiembre de 2024
4 metodologías cuantitativas para hacer análisis de riesgos precisos
7:38

El análisis de riesgos es un componente clave en la gestión de riesgos organizacionales, ya que permite identificar, medir y priorizar los riesgos que pueden afectar el éxito de una organización.

Dentro de las metodologías de análisis, el enfoque cuantitativo es especialmente valioso porque utiliza datos numéricos y modelos matemáticos para evaluar el impacto potencial de los riesgos y ayudar a tomar decisiones informadas. Este enfoque proporciona un grado de precisión y objetividad que las metodologías cualitativas no siempre pueden ofrecer.

En este artículo, exploraremos cuatro de las metodologías cuantitativas más robustas y ampliamente utilizadas para realizar análisis de riesgos.

Cada metodología se presenta con sus elementos fundamentales, fórmulas clave y ejemplos prácticos de aplicación en entornos reales.

 

1. Análisis de Valor en Riesgo (Value at Risk o VaR)

4-metodologías-cuantitativas-análisis-de-riesgos-1

El Valor en Riesgo (VaR) es una de las metodologías cuantitativas más utilizadas en el sector financiero para medir y gestionar el riesgo de mercado.

El VaR estima la pérdida máxima que una organización puede enfrentar en un horizonte temporal determinado, con un nivel de confianza específico. Es una herramienta ampliamente usada por bancos, gestores de fondos y empresas financieras para controlar el riesgo asociado con inversiones y carteras de activos.

Elementos clave

  • Horizonte temporal: el periodo durante el cual se estima la posible pérdida, por ejemplo, un día o una semana.

  • Nivel de confianza: el porcentaje de certeza con el que se estima que la pérdida no superará el VaR. Un nivel típico es del 95% o 99%.

  • Distribución de rendimientos: se basa en suposiciones sobre la distribución estadística de los rendimientos de los activos, generalmente una distribución normal.

 

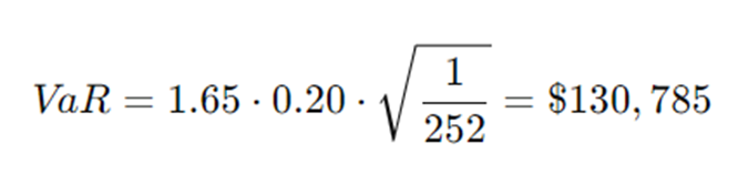
Fórmula de VaR

El VaR para una cartera de activos se calcula con la fórmula:

 

Ejemplo: sector financiero

Supongamos que un banco desea calcular el VaR para una cartera de inversiones valorada en $10 millones con una volatilidad anual del 20%.

Para un horizonte de 1 día y un nivel de confianza del 95%, el Zα correspondiente es 1.65.

Esto significa que con un 95% de confianza, la pérdida diaria no excederá los $130,785.

 

2. Análisis de Monte Carlo

El análisis de Monte Carlo es una metodología utilizada para evaluar el riesgo en situaciones donde las variables tienen incertidumbre significativa.

Monte Carlo se basa en la simulación de múltiples escenarios posibles utilizando distribuciones probabilísticas para los inputs o variables clave.

Es útil en sectores como las telecomunicaciones, donde se pueden modelar fluctuaciones en la demanda, fallos de infraestructura y otros factores que afectan las operaciones.

 

Elementos clave

  • Distribuciones de probabilidad: se utilizan para modelar las variables inciertas.

  • Simulaciones: se ejecutan miles o incluso millones de simulaciones para obtener una distribución de resultados posibles.

  • Promedio y percentiles: los resultados se resumen en valores promedio y percentiles, como el percentil 90 (valor que se supera solo el 10% de las veces).

 

Ejemplo: industria de telecomunicaciones

Imaginemos una empresa de telecomunicaciones que desea evaluar el impacto de fluctuaciones en la demanda de sus servicios móviles.

Las variables clave incluyen la tasa de crecimiento de la demanda, los costos de infraestructura y el número de suscriptores.

Mediante la simulación de Monte Carlo, la organización puede modelar distintos escenarios de demanda y prever el impacto sobre la capacidad operativa y financiera de la compañía, obteniendo una distribución de posibles resultados financieros que ayudará en la toma de decisiones estratégicas.

 

3. Análisis de árbol de decisión

4-metodologías-cuantitativas-análisis-de-riesgos-2

El análisis de árbol de decisión es una metodología que ayuda a evaluar diferentes opciones o estrategias frente a la incertidumbre. Este enfoque es útil, por ejemplo en sectores donde las decisiones relacionadas con la cadena de suministro, la apertura de nuevos puntos de venta o la gestión de inventarios tienen un alto grado de incertidumbre.

El análisis de árbol de decisión permite modelar posibles consecuencias de cada opción y calcular el valor esperado de las decisiones.

 

Elementos clave

  • Nodos de decisión: representan los puntos en los que se debe tomar una decisión.

  • Nodos de incertidumbre: representan eventos futuros inciertos, con probabilidades asignadas a cada resultado posible.

  • Valor esperado: se calcula ponderando cada resultado por su probabilidad.

 

Ejemplo: industria retail o de comercio minorista

Supongamos que una empresa de retail debe decidir si expandir su operación en una nueva región.

El nodo de decisión incluiría dos opciones: expandirse o no expandirse.

Los nodos de incertidumbre incluirían escenarios de demanda alta o baja, con probabilidades asignadas a cada uno.

El valor esperado de la ganancia o pérdida potencial se calcula ponderando cada resultado posible por su probabilidad, ayudando a la organización a tomar la decisión más informada.

 

4. Análisis Costo-Beneficio (ACB)

4-metodologías-cuantitativas-análisis-de-riesgos-3

El Análisis Costo-Beneficio (ACB) es una metodología utilizada con frecuencia en sectores con importantes inversiones en proyectos que requieren evaluar su viabilidad y políticas.

El ACB compara los costos de implementar una medida o proyecto frente a los beneficios obtenidos, ayudando a identificar si el proyecto generará un retorno positivo para los grupos de interés involucrados.

 

Elementos clave

  • Identificación de costos y beneficios: se identifican tanto los costos directos e indirectos, como los beneficios tangibles e intangibles.

  • Valor presente neto (VPN): se calculan los flujos de beneficios y costos a lo largo del tiempo, descontándolos al presente para evaluar su valor neto.

 

Ejemplo en sector público

Un gobierno local está evaluando la construcción de una nueva infraestructura de transporte público.

El ACB incluiría los costos de construcción, mantenimiento y operación, frente a los beneficios esperados, como la reducción del tráfico, el impacto ambiental positivo y el ahorro de tiempo para los ciudadanos.

El análisis se realiza calculando el VPN para determinar si los beneficios futuros superan los costos iniciales.

 

El poder de las metodologías cuantitativas en la toma de decisiones

Las metodologías cuantitativas para el análisis de riesgos son herramientas esenciales para que las organizaciones puedan medir y gestionar el impacto de la incertidumbre de manera precisa.

Ya sea en sectores financieros, telecomunicaciones, retail, sector público o tantos otros, estas metodologías permiten prever riesgos al tiempo que también permite tomar decisiones informadas y estratégicas que fortalezcan la operación y la rentabilidad a largo plazo.

Si deseas aprender más sobre fórmulas que aporten valor a tu organización en gestión de riesgos, te sugerimos descargar nuestra guía 20 fórmulas de valor para construir métricas en GRC, donde encontrarás 10 fórmulas para gestión de riesgos, siete para cumplimiento normativo, y tres para medir la eficiencia de tus iniciativas de GRC, todas indicando los datos que requieres para ponerlas en prácticas y con su correspondiente explicación, ¡descárgala haciendo clic aquí abajo!

Temas: Sector financiero, Riesgos operacionales, Control de riesgos